催化剂
超稳低汞触媒

催化剂
超稳低汞触媒
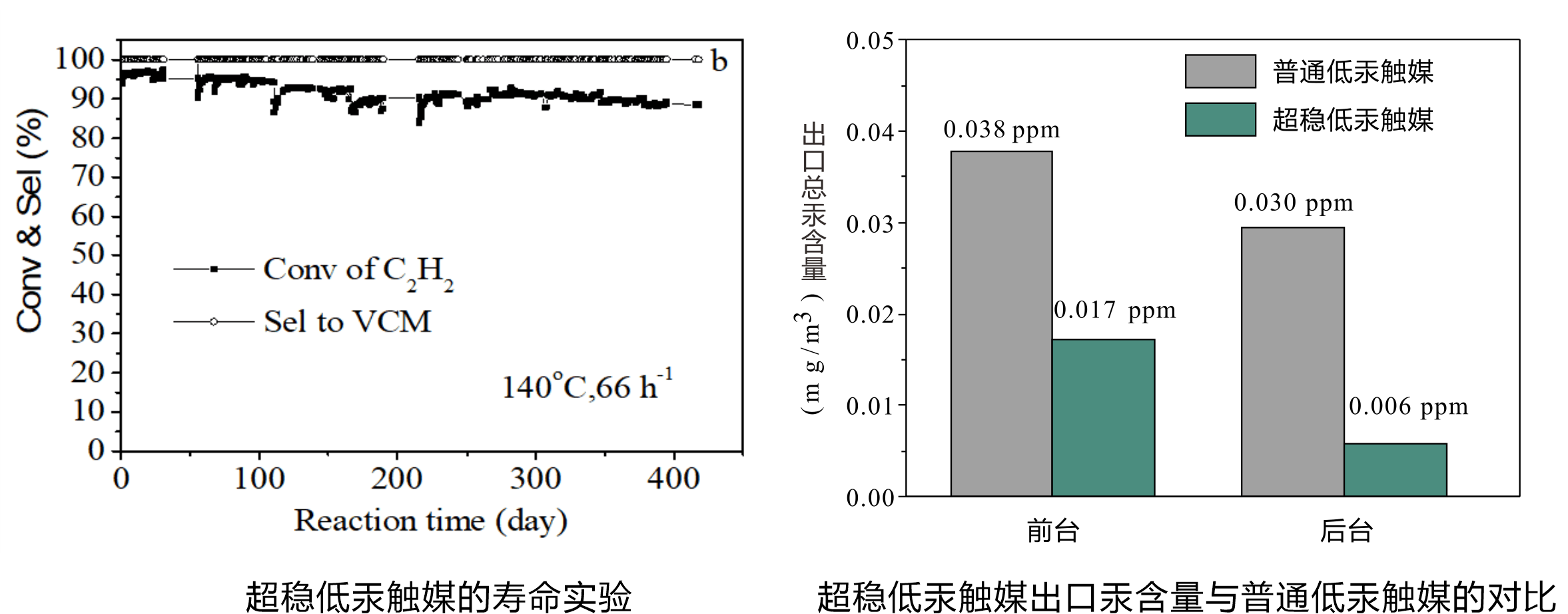
本团队成功实现产业化的“超稳低汞触媒”技术,是目前推广应用规模最大的项目。该技术的落地应用,为企业带来了持续且可观的经济收益,证明了其巨大的市场价值与商业潜力。
超稳低汞触媒技术特性:
(1)采用自主开发的新型炭载体,利用炭载体表面缺陷作为锚定点,与氯化汞分子形成强化学吸附;
(2) 实现氯化汞单层分散,使活性组分利用效率接近100%;
(3)超稳低汞触媒热稳定性优异,每吨PVC的汞排放量远低于国家环保规定的C级标准(SHg<36g/吨PVC),具有显著的环保效益;
(4) 触媒吨耗从1.2kg/吨PVC降至0.7kg/吨PVC以下,经济效益显著。




